Высшая математика, теоретическая механика

5 000 тг.
 
Высшая математика, теоретическая механика

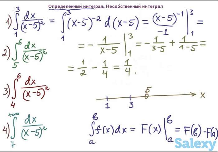
Математический анализ, линейная алгебра, аналитическая геометрия, теория вероятностей, математическая статистика, финансовая математика, дискретная математика, теоретическая механика. Победить страхи перед предметами, убедиться, что вышмат это весело и мало с чем сравнимое удовольствие.

Алматы, Хаджимукана, или ул. Байзакова

Авторизация

Похожие объявления

  • 8 000 тг.
    Уникальное предложение для вашего ребенка! Вы хотите, чтобы ваш ребенок стал уверенным в математике и успешно справился с экзаменами Тогда я - ваш идеальный выбор! Что вы получаете:
  • 25 000 тг.
    Шахматы с Элементами Детской Арифметики 99 ПОЧЕМУ ЭТО РАБОТАЕТ Экспертно: Авторская программа Магистра педагогической психологии Увлекательно: Знакомство с фигурами и цифрами в игровой форме
  • 3 000 тг.
    Профессионально без пробелов обучу современному русскому языку по оригинальным не упрощеннымне адаптированным материалам коммуникативным методом погружения с использованием только изучаемогорусского
  • 3 000 тг.
    Профессионально обучим взрослых и детей современному испанскому языку. Поэтапно и детально отработаем все навыки общения. Поставим вам кастильское произношение espaol castellano, письмо, научим
  • 3 000 тг.
    Тренер по шахматам с высшим образованием и 20-летним опытом преподавания научит взрослых и детей играть и выигрывать в шахматы. Возможен выезд к ученикам.